中国·yl6776(永利集团)有限公司官网-Green Moving Future
首页
学院概况
机构设置
师资队伍
本科教育
研究生培养
学科建设与科研
党建工作
学生工作
International Education
院长书记信箱
学院新闻
今天是:2015年3月4日 星期三 欢迎光临6776永利集团!
研究生教育
当前位置:
首页
>>
研究生教育
>>
正文
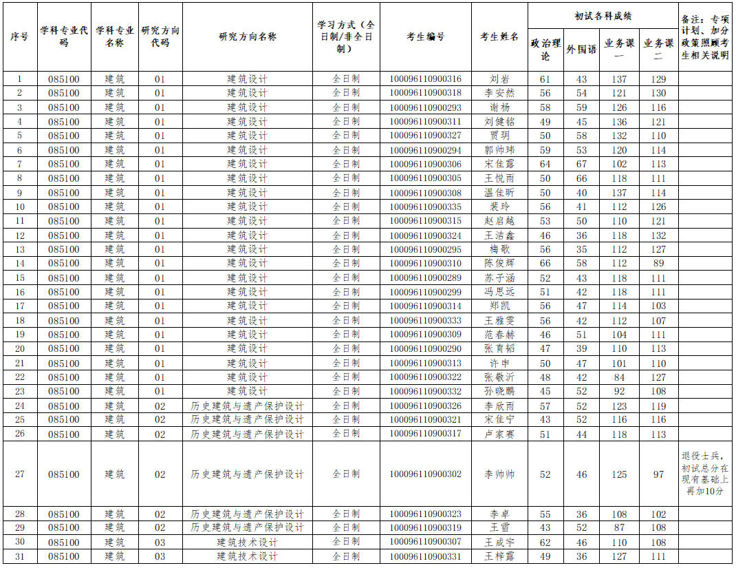
2026年硕士研究生招生考试建筑专硕(085100)第一批次复试考生名单公示
来源:
发布时间:
2026-03-30 15:28:56
阅览次数:
建筑
学
(085100)第一批次复试考生名单
建筑学(085100)“立功表彰退役军人免试生”复试考生名单
【
打印
】 【
关闭
】